2023年4月21日,原湖南省博物馆馆长、研究馆员、享受国务院政府特殊津贴专家、国家文物鉴定委员会委员高至喜先生不幸因病逝世。高至喜先生是湖南文物考古事业的创始人之一,将一生奉献给了湖南的文物考古事业,为湖南文物考古事业的发展做出了卓越的贡献。高先生不幸逝世的噩耗传出,全国各地文博工作者纷纷以各种形式表示悼念。原湘鄂豫皖楚文化研究会秘书长冯少龙先生向湖南省考古学会理事长、原湖南省文物考古研究所所长、湖南大学岳麓书院教授郭伟民转来高至喜先生《关于筹备楚文化研究会的一次座谈会的回忆》一文及来往书信两封。现整理发表,以纪念高至喜先生。
1
《关于筹备楚文化研究会的一次座谈会的回忆》





向左滑动查看更多
关于筹备楚文化研究会的一次座谈会的回忆
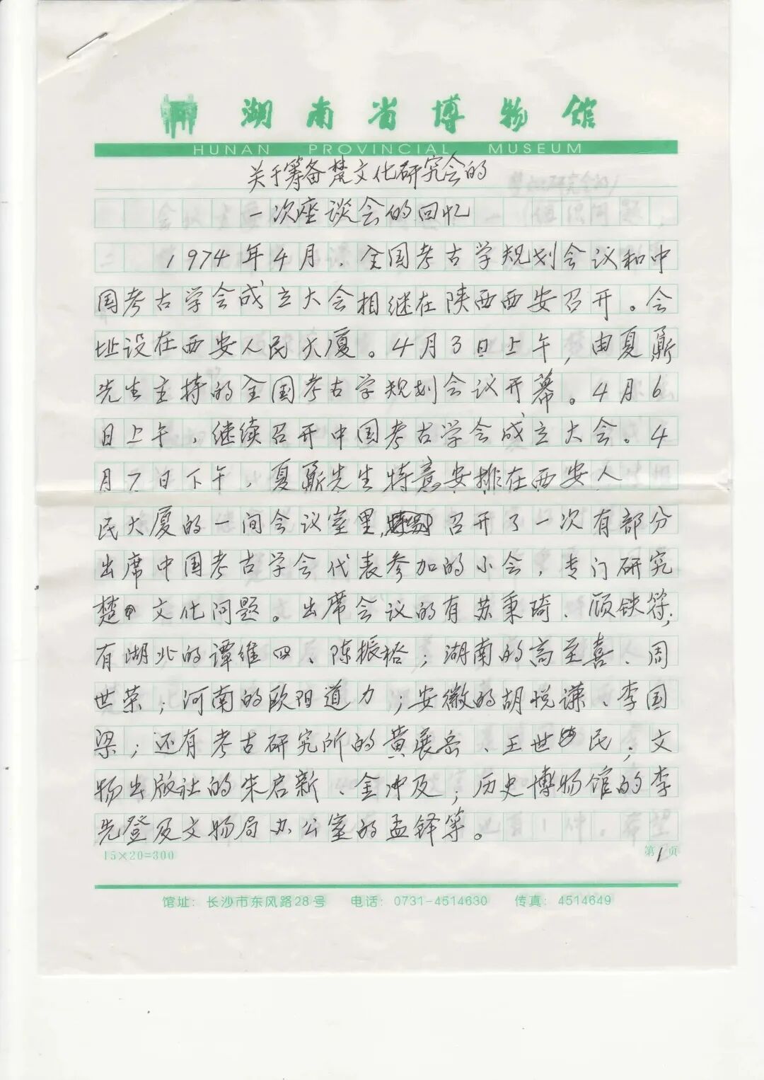
1979年4月,全国考古学规划会议和中国考古学会成立大会相继在陕西西安召开。会址设在西安人民大厦。4月3日上午,由夏鼐先生主持的全国考古学规划会议开幕。4月6日上午,继续召开中国考古学会成立大会。4月7日下午,夏鼐先生特意安排在西安人民大厦的一间会议室里召开了一次有部分出席中国考古学会代表参加的小会,专门研究楚文化问题。出席会议的有苏秉琦、顾铁符;有湖北的谭维四、陈振裕;湖南的高至喜、周世荣;河南的欧阳道力;安徽的胡悦谦、李国梁;还有(中国科学院)考古研究所的黄展岳、王世民;文物出版社的朱启新、金冲及;历史博物馆的李先登及(国家)文物局办公室的孟铎等。
会议主要研究三个问题:一、楚文化研究会的组织问题;二、楚文化研究的课题;三、下次会在哪里开?
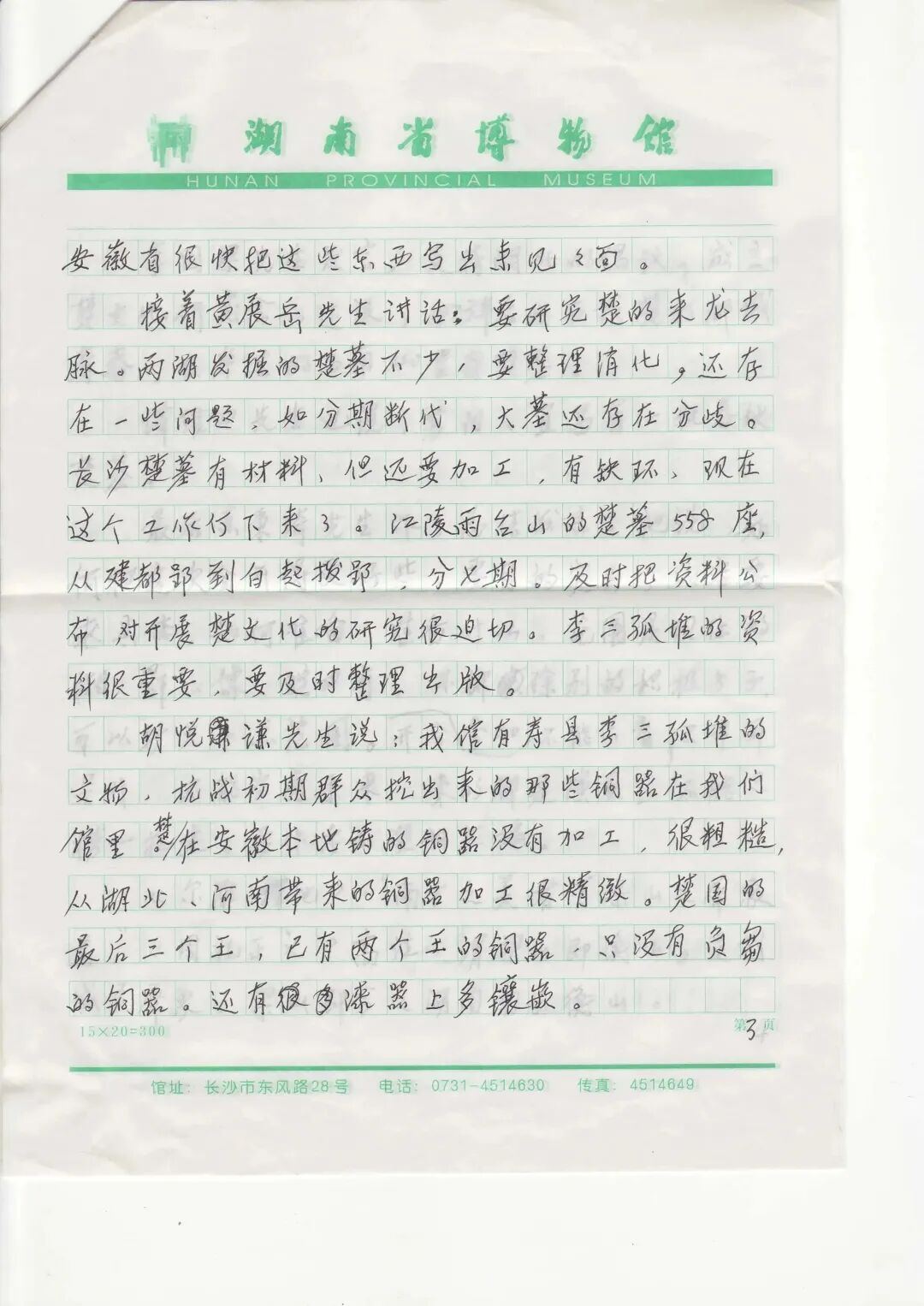
首先是顾铁符先生发言。他说:楚国到了战国后期的面积占全国至少百分之四十,自称蛮夷。最初的根据地在宜昌附近,夏代已形成这支民族,文化很发达,军事、政治、策略性相当强。任继愈说,我们搞历史研究的对楚始终估计不足。楚对中国的文化史非常重要,同秦、同“三晋”有争,文化艺术主要是楚的。特别是西汉初,西汉的上层分子,差不多都是楚国人。楚文化的源流是(汉的)主流。湖南楚墓已发掘两千多座,湖北也是两千几,大部分是战国的。李三孤堆(安徽寿县)的文物只发表40件,故宫有80件,安徽有700件,天津、上海也有,广州也有1件。希望安徽省很快把这些东西写出来见见面。
接着黄展岳先生讲话:要研究楚的来龙去脉。两湖发掘的楚墓不少,要整理消化,还存在一些问题,如分期断代,大墓还存在分歧。长沙楚墓有材料,但还要加工,有缺环,现在这个工作停下来了。江陵雨台山的楚墓558座,从建都郢到白起拔郢,分七期。及时把资料公布对开展楚文化的研究很迫切。李三孤堆的资料很重要,要及时整理出版。
胡悦谦先生说:我馆有寿县李三孤堆的文物,抗战初期群众挖出来的那些铜器在我们馆里。楚在安徽本地铸的铜器没有加工,很粗糙。从湖北、河南带来的铜器加工很精致。楚国的最后三个王,已有两个王的铜器,只没有负芻的铜器。还有漆器上多镶嵌。
李国梁先生发言,支持湖北的倡议,成立楚文化研究会。还说:1973年后我在找楚的都城寿春,在寿县的西南40里有楚墓。谭维四先生也说:襄阳、宜昌有一批春秋楚墓。
最后苏秉琦先生作了总结发言。他说:如何把这(下)次会开得更好些,要目的突出,内容要求具体,如何准备,准备什么,范围是现在的湘、鄂、豫、皖四省,不排除别的积极分子,可以扩大一点范围。参加开会不能只看,只带耳朵听,不能空着手来,来的都是演员。不能只捞一把走。要作考古资料汇编。
《尔雅·釋地》:“南方之美者,有梁山之犀象焉。”《周礼正义》高注:谓梁山即衡山,是荆域多犀象。梁山即今之湖南南岳衡山。
有的考古报告,材料不是材料,报告不是报告,研究不是研究。写报告要报告你的工作。要讲你的发掘,要有典型材料。平面关系,堆积关系应是比较完整、系统。不要求全盘端出,半成品也可以提出来。把图录改为资料汇编。先提出中心问题来写论文。与楚有关的地点,要分区,不能混为一谈。1﹑长沙地区,环绕洞庭湖南北;2、荆州、宜昌、当阳;3、武汉周围;4、安徽、江淮之间;5、信阳地区。
有商周青铜器的地方,有不有重要遗址?要加强调查,从出铜器的地方找遗址。
(高至喜根据当时的记录整理)
2013年11月28日于长沙
2
高至喜先生致冯少龙先生信件

冯少龙先生:
遵嘱将1979年4月,在西安召开的筹备楚文化研究会的座谈会的回忆寄上,请审定。
关于1979年12月在武昌东湖召开楚文化研究会筹备会议的情况,我的日记未能找到,回忆录无法完成。请找谭维四、王劲同志。在楚文化研究会成立大会上,报告楚文化研究会筹备情况的是王劲同志,找她即可解决问题。 顺致
敬礼!
高至喜
2013.11.29. 于长沙
3
冯少龙先生给高至喜先生的回信
高老师:
您好!
您的来信和惠赐的《关于筹备楚文化研究会的一次座谈会的回忆》一文均已收到,谢谢您!
您《关于筹备楚文化研究会的一次座谈会的回忆》,是一份很重要的文献,为我们建立楚文化研究学会历史档案,予以了极大帮助。十分感谢您对我们“湘、鄂、豫、皖楚文化研究会”秘书处工作的鼎力支持!
拜读了您的《关于筹备楚文化研究会的一次座谈会的回忆》一文,使我们这些晚辈,为您们老前辈极具前瞻性的学术思想和艰苦创业的精神而感动!感谢您们老一辈考古学家为我们建立了研究楚文化的学术平台和科研园地!我们秘书处将决不辜负您们老一辈考古学家的期望,学习您们的敬业精神,踏实工作,努力建设好“湘、鄂、豫、皖楚文化研究会”这一科研园地,为楚文化研究事业作贡献。
此致
敬礼!
祝您身体健康!
“湘鄂豫皖楚文化研究会”秘书处
冯少龙 再拜!
2013年12月10日敬上
4
高至喜先生致信信封


(转自 湖南考古 微信公众号)